第二节 相对论的诞生
2.1拯救以太
一条简单的解释迈克尔孙一—莫雷实验的途径是,假设在任何惯性参考系中的所有方向上光的速度都相同,并且就是c。但是这样的结论不能与伽利略的速度变换公式保持一致,并且从当时经典物理学的观点来看也过于荒诞。假如测得的光速与观察者的运动无关,那么所有的惯性系对光的传播都是等效的,因此也就不存在任何实验能明确指出的独特的惯性系,即以太的存在。然而牛顿力学必须借助以太才能解释电磁现象。为了解释迈克尔孙一莫雷实验所得的“零结果”,而又保留以太参考系, 爱尔兰的物理学家菲兹杰拉德(G.F.FitzGerald,1851—1901)和荷兰物理学家洛伦兹(E.N.Lorenz,1917一)都独立提出了收缩假说,即物体在以太中运动时在运动方向上的长度要收缩,收缩的比率为:

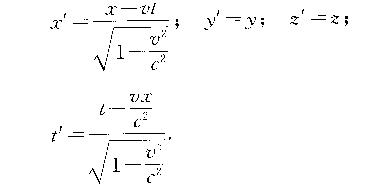
如果在运动方向上的长度缩短了,那么时间也会相应地缩短,所以t1=t2,也就观察不到干涉条纹的位移了。在当时,收缩假设也是近于荒诞的假说了,因为这个收缩不是任何力作用的结果,而只是表现为运动的一种伴随效应,但洛伦兹仍然大胆地将这个假说应用于它的电磁理论中。在提出收缩假说之后,洛伦兹进一步探讨了以太和地球的相对运动对其他电磁现象和光现象的影响。经过数年的努力,他在1904年得到一组新的数学关系式,运用这组关系式后,麦克斯韦方程的形式在相对于以太静止的坐标系和相对于以太运动的坐标系中都是一样的,这组关系式被后人称为“洛伦兹变换”。

在洛伦兹的新理论中,相对性原理是成立的。一个观察者不管他是静止于以太的系统中,还是在相对于以太作匀速运动的系统中,观察到的电磁现象都是一样的,他完全没有办法将这两种状态区分开来。这样,通过洛伦兹的努力,人们对以太的认识达到了这样的高度,即对于描述物理过程来说,以太已经是一个不必要的假设了。以太理论的高度发展,结局却是使它不再是一个基本的概念了。然而洛伦兹仍然迷恋于“以太处于绝对静止的”的假设,以至于他认识不到已经被自己所证明了的“存在有无数个等价参考系”的物理价值。
与洛仑兹不同,作为数学家的彭加勒(J.H.Poincare,1854—1912)却提出了"相对性原理”。他清楚地看到洛伦兹的观点是站不住脚的,参考系在数学上描述的等价性,事实上就意味着相对性原理的正确性。“相对性原理”是狭义相对论的两条基本假设之一,它可以表述为一切物理定律在所有的惯性系中其形式保持不变。彭加勒是在1904年圣路易斯国际技术和科学会议的讲演中首次提出这一原理的。根据这一原理,“物理现象的定律对一个固定的观察者和一个相对于它作匀速运动的观察者必定是相同的。这样一来,我们没有也不可能有任何识别我们是否做这一运动的手段。”
彭加勒不仅提出了相对性原理,他还提出过狭义相对论的另一个假设:“光速不变原理”。他说,如果不同的物体有不同的光速,或者在不同的方向上的光速不同,那么测量光速就成为不可能。毫无疑问,到1903年前后彭加勒手头已经具备了创立狭义相对论的所有必需材料,目为他囿于经典物理学观念的束缚,以至于未能将自己的新思想进一步提高,这对他来说确实是一件憾事。
2.2狭义相对论及其推论
狭义相对论确立的标志是爱因斯坦(A.Einstein,1879—1955)于1905年6月完成的论文《论动体的电动力学》。当时,爱因斯坦认识到洛伦兹收缩和“地方时”的概念并不仅仅是数学上的技巧,也:不是物理上的幻觉,而正是触及到了空间和时间概念的本质。在论文中,爱因斯坦写道:“没有任何已观察到事实的特性符合于绝对静止的概念……对力学方程成立的所有坐标系来说,相应的电动力学和光学方程也成立。……下面我们用了这些假设(我们以后将称为相对性原理),同时引出另一个假设——个初看起来与上—个假设不相容的假设——光在真空中以速度c传播,其值与发光物体的运动性质无关。这两个假设完全足以在静止物体的麦克斯韦理论基础上导出运动物体电动力学的简单而又一致的理论。”
概括起来就是这样两条假设:
(1)相对性原理:物理定律在所有惯性系中是相同的,不存在一种特殊的惯性系;
(2)光速不变原理:在所有惯性系内,自由空间中光的速度具有相同的值c。
基于这两个公设,爱因斯坦导出了洛伦兹变换方程,再由这个方程出发必然得出在运动方向上长度的收缩、运动时钟的变慢等结论,并得出了新的速度合成公式。
值得一提的是,虽然爱因斯坦导出的变换方程与洛伦兹本人提出的数学关系式基本一致,但两者的含义却截然不同。洛伦兹提出的数学关系式仅仅是一种数学技巧,他本人并不清楚它的物理意义。而爱因斯坦得到的变换方程却是由两个公设严格导出的,它包含着时空观的重大变革,彻底否定了绝对时间和绝对空间,以及时间和空间毫不相干的传统观念。
根据狭义相对论,可以得出以下一些推论:
(1)同时性是相对的。在一个惯性系中所观察到的两个同时发生的事件,在另一个惯性系中看来可能不是同时发生的。所以同时性并不具有绝对的意义。
如果两个事件在某一个惯性系中的同一时刻t在不同地点x1,x2,发生,那么在另外一个相对于这个惯性系以速度v,作匀速运动的惯性系中来观察的话,则两个事件是在不同的时间发生的:

(2)运动着的物体在它的运动方向上的长度将会缩短。当一个物体相对于观察者静止时,该物体长度的测量值为最大;当它相对于观察者以速度v运动时,在它的运动方向上,该物体的长度的测量值是原来的
倍,而在与它运动方向垂直的方向上物体的大小不受影响。
(3)运动着的时钟将会变慢。当一只钟相对于观察者静止时,钟是走得最快的,当它相对于观察者以速度u运动时,可测得该钟的时率只有原来的
倍。
(4)运动着的物体质量会增加。将相对论中的速度合成公式应用于动量守恒定律,可以得到运动物体的质量变化:

狭义相对论所得出的最有影响的推论当属质能方程:E=Mc2。这个方程是在爱因斯坦完成相对论论文之后3个月即1905年9月在《物体的惯性同它所含的能量有关吗?》这篇论文中提出的。在这篇不到3页的论文中,爱因斯坦轻而易举地解释了放射性元素放出巨大能量的原因,为以后人类利用核能提供了理论上的保证。
狭义相对论的很多推论现在已经得到了证明,比如通过加速器可以测量到高速运动的粒子的寿命延长了,质量增加了。
2.3 广义相对论及其实验验证
狭义相对论描述的都是惯性系中物体的运动,但在自然界中惯性系毕竟只是特例,惯性系的这种特殊地位正是狭义相对论的局限所在。这个问题爱因斯坦在完成狭义相对论之后就已觉察到了。为了将相对性原理加以推广,他在190?年的论文《关于相对性原理和由此得出的结论》中提出了广义相对性原理,即自然定律的表达式在任何参考系中都保持一致,不管这种参考系是惯性系还是非惯性系。
现成的非惯性系就是加速度系。爱因斯坦由此联想到伽利略早就发现的基本事实,即一切物体在同一引力场中都具有同样的加速度;物体的引力质量与物体的惯性质量相等。爱因斯坦由此设想在一个空间范围很小的引力场里,引入一个相对于它作加速运动的参考系,那么物体就会像是在没有引力的空间里那样运动,这样引力场就与同参考系相当的加速度在物理学上完全等价了。这一原理就是等效原理。爱因斯坦称发现等效原理是他“一生中最愉快的思想”。经典物理学认为,一个没有受力作用的物体的运动(惯性运动)与物体在引力作用下的运动是不相同的。前者在惯性系内是匀速直线运动,而后者则是曲线路径上的运动,因而是非匀速的。根据等效原理,这个差别就不存在了。因为只要过渡到某一加速参考系,我们就可以把惯性引起的匀速直线运动变为一个曲线的加速运动,而不可能将此加速运动与引力场所产生的运动区别开来,反过来也一样。这个问题的解决,使人们能摆脱掉绝对空间的概念。
爱因斯坦在建立引力场中物体的运动方程时却遇到数学上的困难。在关键时刻爱因斯坦的同学、数学家格罗斯曼(M.Grosmann,1878—1936)帮了他的大忙。他们用黎曼(G.F.D.Riemann,1826—1866)几何作为时空模型,用张量分析和曲面几何为工具建立了引力场的度规理论。经过艰苦的摸索和多次的失败,终于在1913年共同完成了《广义相对论和引力理论纲要》这篇论文,其中的物理部分是由爱因斯坦执笔,数学部分则由格罗斯曼撰写。至此,广义相对论的大门终于被打开了。在这里,用来描述引力场的不是标量,而是度规张量,即要用10个引力势函数来确定引力场。这是首次把引力和度规结合起来,使黎曼几何获得实在的物理意义。
广义相对论表明:在有引力场存在时,时空是弯曲的黎曼空间,弯曲的程度取决于物质的分布;物质密度越大,引力场越强,空间弯曲得越厉害。这样就可将引力看作是弯曲时空本身,而不再是物体相互作用下的规律。物质造成了时空的弯曲,弯曲又决定了引力场内物体的运动,所以说广义相对论的实质是引力理论。
广义相对论有着优美的理论体系,但它毕竟离现实太远,一般的学者都无从理解如此深刻的内容。为了证明广义相对论的真理性,爱因斯坦首先通过计算说明了水星在近日点的进动这一困扰科学界多年的难题。水星是距太阳最近的一颗行星。按照牛顿的引力理论,在太阳的引力作用下,水星的运动轨道将是—一个封闭的椭圆形。但实际上水星的轨道并不是严格的椭圆,而是每转一圈它的长轴也略有转动。长轴的转动就称为进动。水星的进动速率是每一百年1。33′20"。进动的原因是由于作用在水星上的力,除了太阳的引力(这是最主要的)外,还有其他各个行星的引力。后者很小,所以只引起缓慢的进动。天体力学家根据牛顿引力理论证明,由于地球参考系以及各行星引起的水星轨道的进动,总效果应当是1。32′37"/百年,而不是1.33′20"/百年。二者之差虽然很小,只有43"/百年,但是已在观测精度不容许忽略的范围了。水星的进动是法国天文学家勒维烈发现的。他在发现海王星的启发下,大胆地提出这种现象是由于一颗未知的水内行星对水星的摄动引起的。同年便有人宣称发现了水内行星。并起名为“火神星”,—时间掀起了寻找火神星的热潮。然而几十年过去了,此梦一直未圆。于是人们设想各种因素来解释这种复杂的进动,但始终没有令人满意的理论。爱因斯坦根据广义相对论指出,水星在近日点的进动,是由于在太阳这颗巨大星体周围的空间造成的弯曲引起的,并计算出水星每百年有43.03"±0.03"的进动。
对水星进动的解释仅仅是广义相对论的一个应用。一个理论要得到承认,必须给出一些可供检验的预言。爱因斯坦根据引力场中空间的弯曲指出,光线在通过太阳边缘时将发生1.75"的弯曲。1919年5月29日英国天文学家爱丁顿(A.Eddington,1882~1944)和克罗姆林(A.C.C.Crommelin,1865—1939)分别在非洲和南美洲观察日全食时太阳附近恒星位置的变化,得出光线通过太阳边缘时分别弯曲了1.6",0.31”和1.98"±0.12”,充分证实了爱因斯坦所作的预言。消息传来,立即震撼了欧洲乃至全世界,爱因斯坦也随之声名大振,身价百倍。此后广义相对论又得到了进一步的实验证实,如在引力场中时钟变慢而引起的光谱红移,以及雷达回波经过恒星引力场后的延迟等。
2.4相对论的科学与哲学意义
狭义相对论和广义相对论的建立是人类认识史上的一大革命,它极大地丰富了我们对物质与运动、时间与空间等物理现象的认识。它是人类认识自然的最伟大的成果之一。它的意义不仅在于丰富了我们的科学知识。由于它打破了牛顿绝对时空观的长期束缚,对于人类认识思想和哲学的发展也起到了推动作用。
对于相对论在科学中的地位,玻恩(Max Born,1882—1970)是这么评价的:“1905年诞生的狭义相对论可以公正地看作是科学中古典时期的结束和新纪元的开始。因为一方面它是以牢固确立的古典物质概念(认为物体在空间和时间上是连续分布的)和自然界因果律(或更确切地讲是决定论)的概念为出发点,但另一方面,它却又导出了革命性的空间和时间概念,给牛顿所建立的传统观念以决定性的批判。这样狭义相对论就给我们开辟了一条认识自然现象的新途径。这在我们今天被看成是爱因斯坦最杰出的功绩,这个功绩把他的工作与他前人的工作区分开来,把现代科学同古典科学区分开来。”
相对论的哲学意义在于:(1)它维护了实在论在科学中的地位。爱因斯坦说,“承认有一个离开知觉主体而独立的外在世界,这是一切科学的基础”。在谈到相对论时他说,“过去人们认为当这个世界上的一切物质都消失后,至少还有时间和空间,而现在当物质消失时,则连时间和空间也没有了。”这表明世界的本原是物质,一切自然现象、社会现象甚至时间和空间都是物质运动的表现形式。(2)它揭示了事物运动的辩证性。在牛顿的经典力学体系中时间和空间是绝对的、静止的,因而是形而上学的。在爱因斯坦的相对论中时空不再是独立的,它与物质的分布和运动状态有关,从而揭示了自然界辩证运动的本质。
1;所有标注为智造资料网zl.fbzzw.cn的内容均为本站所有,版权均属本站所有,若您需要引用、转载,必须注明来源及原文链接即可,如涉及大面积转载,请来信告知,获取《授权协议》。
2;本网站图片,文字之类版权申明,因为网站可以由注册用户自行上传图片或文字,本网站无法鉴别所上传图片或文字的知识版权,如果侵犯,请及时通知我们,本网站将在第一时间及时删除,相关侵权责任均由相应上传用户自行承担。
[complaint:内容投诉]
智造资料网打造智能制造3D图纸下载,在线视频,软件下载,在线问答综合平台 » 科学技术史-4.2相对论的诞生(图文教程)

