第三节 量子物理学的建立
3.1普朗克量子假说的提出
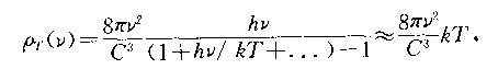
自从黑体辐射成为一个研究热点之后,许多科学家都力图从理论上对辐射问题作出说明,虽然大家提出过一系列的数学公式,却总是与实验结果存在着较大的差别。维恩的公式在短波部分与实验相符,瑞利一金斯的公式在长波部分与实验相符,但没有人能说明整个波谱上的辐射。从1895年起,德国柏林大学的教授普朗克(M.Planck,1858-1947)也开始关注黑体辐射问题。他目睹瑞利和金斯将两个热辐射定律结合成一个后在短波范围内出现的荒谬结论,于是他决定从另一条途径出发将斯蒂芬一玻耳兹曼定律和维恩定律结合。通过对几个定律的比较,再结合新的实验事实,普朗克凑出了一个新的公式:

在1900年10月19日德国物理学会的报告会上普朗克公布了他的最新公式。当天晚上他的同事鲁本斯就对这个新的公式进行了验证,结果发现在每一点上都与实验非常地吻合。当处于低频波段时加≤kT,那么分母中的指数函数可以展开为hv/kT的幂级数,并略去高次项就得到:

即瑞利一金斯公式。当处于高频波段时hv≥kT,那么分母中的指数项远大于1,所以分母中的1可以略去,这样就得到:

实际上就是维恩位移公式。这说明普朗克的公式已经包含了他们两者的公式,并且给出了两者之间的过渡方式。
新的分布律的成功反而使普朗克陷入了沉思之中,因为他知道这个公式是他凭借直觉从其他公式中拼凑出来的,缺乏坚实的理论基础。按照经典物理学的解释,空腔中辐射出来的电磁波,是由腔壁中的电子在热激发下振动时产生的。腔壁中振动的电子在它们的运动逐渐减弱时,会连续地向外辐射电磁波。但瑞利一金斯就是根据这个假设来推导辐射公式的,显然不能再从这个角度着手了。为了寻找隐藏在公式后面的物理事实,普朗克进行了8周的艰苦工作。在利用经典理论失败后,他终于向经典能量均分原理提出了挑战,提出了—个革命性的假设:每一个自然频率为v的线性谐振广只能够不连续地吸收和释放能量,能量值必须是最小能量值hv的整数倍。普朗丸把这最小的能量值叫做个能量子。这就是普朗克的能量子假说。这一假说深刻地揭示了热辐射能量量子化的物理本质,普朗克在1900年12月14日发表的《论正常光谱的能量分布定律的理沦》—文中阐发了能量子的观点,并给出了完整的普朗克公式,现在这一天被视为量子物理学诞生的日子,
3.2光量子理论与波粒二象性
虽然普朗克公式能与实验结果较好地吻合,但因为能量子的概念与传统的理论格格不入,所以普朗克的工作并未得到人们的认可,反而遭到种种非议,以至于普朗克本人也对能量分立的假没表示怀疑。他自已称他的能量子假说是一个“绝望的行动”,并且在以后的10多年中。多次地从自己的理论倒退,并企图重新从经典理论来解释辐射。这样经过15年的徘徊,到1915年他才最终认识到量子理论的重要性。好在并不是所有的人都墨守陈规,爱因斯坦与玻尔(N.H.D.Bohr,1885—1962)等人就率先看到了量子理论的重要价值并将它发扬光大。
最初赫兹在研究电磁波的时候发现,当两个电极中的一个受到紫外线照射时,两个电极之间的放电就比较容易。后来证明紫外线是由于促使阴极表面发射电子而使放电比较容易的,电子在光的作用下从表面发射出来的现象就称为光电效应。
当时人们在研究光电效应时发现这样一些现象:
(1)单位时间内的光电子数与入射光的强度成正比。也就是说入射的光越强,产生的光电子越多。
(2)光电子的初动能与入射光的频率V有关,而与光的强度无关。初动能是指当阴阳极之间的加速电压为零的时候,光电子逸出金属表面时的动能。它可以通过加一个反向电压来测量,随着反向电压的增加,光电子流降低,当它刚好等于零的时候,这个电压称为遏制电压Vs,它和电子电荷的乘积eVs就是光电子的初动能。实验表明,这个初动能(也就是遏制电压)的大小只和入射光的频率有关,同一种入射光,强度增大或变小,都不会影响这个遏制电压的大小。这和传统的波动理论是相违背的。
(3)不同的金属产生光电子时都对应有一个最低频率V0,低于这个频率时再强的光也不会产生光电子。也就是说,对于某个金属,很弱的紫光能打出光电子来,而很强的红光则不能打出光电子来。可是根据经典理论,光的能量正比于光的振幅即强度,而与光的频率无关。所以在对以上这些现象进行解释时经典理论就显得束手无策。
1905年爱因斯坦对普朗克的能量子理论进行了推广。他提出,光子不但具有能量hv,而且还与粒于一样具有动量p=h/λ,这就是爱因斯坦的光量子理论。利用光量子假说可以圆满地解释光电效应。按照光量子假说,光是由光量子组成的,光的能量是不连续的,每个光量子的能量要达到一定数值才能克服电子的逸出功,从金属表面打出电子来。微弱的紫光虽然数目比较少,但是每个光量子的能量却足够大,所以能从金属表面打出电子来;很强的红光,光量子的数日虽然很多,但每个光量子的能量不够大,不足以克服电子的逸出动,所以不能打出电子来。把光量子化以后,他很容易地就解释了光电效应的这些奇特现象,并得出了爱因斯坦方程:
。
爱因斯坦将光看成是不连续的一份一份的光子,而光子的能量义是通过光的频率来定义的,这样光就同时具有粒子和波两种特性,从而将光的波动说和粒子说统一了起来,揭示了微观客体的波粒二象性.1924年法国年轻的物理学家德布罗意(L.V.de Broglie,1892~1987)在向巴黎大学递交的博士论文中,将波粒二象性从光子推广到所有微观粒子,提出了物质波的假说。5年后,他成为第一个团博士论文而获诺贝尔奖金的物理学家。德布罗意的假设是,辐射既像粒子又像波的两重性同样适用于物质实体,物质的总能量E与伴随它运动的波的频率中间也有E=hv;整体的动量户与伴随的波动的波长λ之间的关系是p=h/λ。辐射相当于静质量为零的粒子,物质相当于有一定静质量的粒子。德布罗意的波粒二象性的理论,将人类对物质世界的认识提高到一个新的层次。物质波的存在可以通过对粒子的波动特性来检测,1927年戴维逊(Davision C.J.1881~1958)和革末(Germer LH.1898一1971)就是利用电子束在镍单晶里的衍射来实现的。衍射是波的一个特性,比如当一束光通过一个狭缝以后,便会产生明暗相间的衍射条纹。戴维逊和革末发现,当电子束通过镍单晶后,也会产生同样的衍射条纹。
3.3玻尔对原子结构的解释
1897年J.J.汤姆逊发现了电子,使原子不可分的观念被彻底打破了,大家纷纷猜测原于的内部结构。知道了电子的电荷,就可以不得电子的质量比最轻的原子还要小几千倍。假设原子的全部负电荷都存在于电子中,可以断定中性的原子中包含着正电荷,而且原子的绝大部分质量应该和这个正电荷相联系。于是就发生了电子和正电荷是怎样在原子里排列的问题。汤姆逊提出的原子模型好比一个正电荷的球,而把电子当作实际的点电荷嵌在中间。这个“葡萄干蛋糕”的模型是汤姆逊为了解释元素的周期性而反复推敲出来的。然而这个模型与原子使。粒子散射的实验结果相矛盾。1911年卢瑟福(E.Rutherford,1871—1937)在。粒子散射的实验中发现,使α粒子发生大角度散射的百分比与汤姆逊所预言的不符,实际上有万分之—的α粒子是反向散射的。使科学家大吃一惊的是竟然有的α粒子的散射角达到180。,用卢瑟福自己的话说“这是我一生中从未有过的难以置信的事件。它的难以置信好比你对一张纸射出一发15英寸的炮弹,结果却被顶了回来而打在自己身上。经过思考我认为反向散射必定是单次碰撞的结果,而当我作出计算时看到,除非采取一个原子的大部分质量集中在一个微小的核内的系统,否则是无法得到这种数量级的任何结果的。这就是我后来提出的“有核行星结构模型”。但在解释这个模型时却产生了矛盾。根据经典电磁理论,电子在绕核作高速旋转时必定要向外发射电磁波,从而不断放出自身的能量,使运行轨道越来越小最后落到原子核上,而且电子向外辐射的电磁波也必定是连续的。但从实验事实来看原子是稳定的,而且它辐射的光谱也是线状分立的,理论与事实之间存在着无法弥合的矛盾。
原子具有很小而重量很大的核心的想法。”据此卢瑟福提出了原子的为了解决这一矛盾,1913年玻尔根据普朗克的量子理论提出了新的原子结构假说:(1)轨道量子化理论:电子只能在一些特定的圆轨道上绕核运行,在这些轨道上电子的角动量是h/2π的整数倍;(2)定态原理:电子在上述轨道上运行时不发射也不吸收能量,因此是稳定的;(3)跃迁原理:电子在两个不同的定态轨道上跃迁时要吸收或发射一定的辐射,辐射的频率由两个能级决定。5年以后他又提出了对应原理:当原子的能量很大时,即电子处于较高的能级状态时,量子辐射条件与经典理论计算结果相同,允许能量近似为连续。
玻尔的理论能说明早就观察到的氢原子光谱的分立谱线,比如巴耳末公式即可以作如下解释:

Vnm表示从能量为En的稳定态跃迁到Em的稳定态时所辐射的频率。正常的原子处于最低能态,n=1,叫做基态。当原子通过激发过程吸收了能量时,就跃迁到较高的能态,其后原子可以通过一系列的跃迁到较低的容许的能态,把这部分能量发射出来,最后回到基态。当n值很大时,能级逐渐靠近,并趋向于经典的连续性。玻尔的假设还能用于理解吸收光谱。如果波长连续的光谱射到一气体容器上,会发现通过气体的射线中将失去一组波长不连续的谱线,这必然是被容器中的原子吸收的,各条所谓吸收光谱与原子的发射光谱中的谱线具有相同的波长。
玻尔的理论能够方便地说明原子物理学、光谱学和化学中的许多实验事实,所以很快就被学术界接受了。但玻尔理论的应用范围也有明显的局限性,它只能说明单电子原子,对碱金属原子近似适用,但这种理论竟不能应付有关中性的氦原子的实验事实,更不用说更复杂的原子了。其实,无论玻尔的理论还是普朗克的理论,都不是微观体系的物理的一种严密的理论,它们只是用某些特殊的情况,来取代已宣告无效的经典理论。真正需要的是对物理定理的重新系统化,使它们对所有的系统—一微观的和宏观的——都能得出正确的结果,并在宏观领域中转化为经典定律。这些工作是在20世纪20年代后期由薛定谔和海森堡开始的,并最终导致了系统的量子力学理论。
3.4波动力学与矩阵力学
早期的量子理论在形式与内容上都或多或少地保留着经典理论的痕迹,没有形成严密的理论体系,在20世纪20年代以后量子理论沿着两条路线独立地发展着。一条由爱因斯坦关于辐射的波粒二象性出发,经过德布罗意的物质波概念,最后达到薛定谔(E.Schrodinger,1887~1961)的波动力学;另一条由玻尔的对应原理出发,导致海森堡(W。K.Heisenberg,1901—1976)等人建立的矩阵力学。
波动力学的基本概念是波动,强调的是连续性,运用的是微分方程,它类似于经典的流体力学,容易进行形象化的奉示。矩阵力学从所观察的光谱的分立性人手,它的基本概念是粒子,它采用的是矩阵代数方法,藐视任何图像解释。
由于波动力学与矩阵力学在数学表达式上迥然不同,在物理概念上也各有侧重,所以两个派别互不承认,互相攻击对方的理论。但由于两种力学在解决问题时所得的结果相同,使入不免联想到这两者之间可能存在着某种内在的联系。最后由薛定谔、泡利(W.E.Pauli,1900一1958)和狄拉克(P.A.M.Dirac,1902—1984)各自独立地证明,波动力学和矩阵力学在经过一定的数学变换后是完全等价的,从此之后两者合而为一,形成非相对论量子力学的理论体系。此后经狄拉克的完善使量子力学与相对论相结合建立了完整的量子力学体系。
3.5 量子力学的几个重要原理
一.互补原理
互补原理是玻尔首先提出来的。在经典物理中,一个给定的实体,不具有这种性质就一定具有另一种性质;但在微观领域中,就遇到了很大的挑战,比如波粒二象性就是这样。按照经典物理的理解,物质要么是粒子,要么是波。按照互补原理来理解,自然界的物质就性质来说,既不是粒子也不是波,为突出两种性质中的一种性质而进行的实验或测量,只能牺牲另一种性质。比如为突出粒子性而设计的康普顿散射实验,就不可能提供关于波动的任何信息;而用于观察波动的衍射实验,又不能提供关于粒子特性的知识。所以说相互矛盾的两种特性原则上是不能同时观察到的,量子力学正是用一对互补的变量来对物理体系的性质进行描述。其他的互补性变量还有粒子的位置和线动量、定态的能量及这种状态存在的时间等。
海森堡发现,要确切地知道粒子的位置,必须用一束光射到这个粒子上,通过光波的反射才能知道粒子的位置,光波越短,那么测量的结果越精确(就好比用一把最小刻度是毫米的尺,测的结果要比最小刻度是厘米的尺更精确一样)。但是波长越短,越容易扰动粒子,结果使粒子以一种不可测的方式改变粒子的速度。也就是说,对位置测量得越精确,那么它对速度的扰动就越大,反之亦然。用公式表示就是:
Δx·Δp≥h/2
同样还有ΔE·Δt ≥ h/2
更重要的是,这种测不准性(或不确定性),并不能通过测量仪器的改进而得以解决。由于测不准关系是与普朗克常数h相关,所以假如h等于零的话,那么对测量精度就没有任何限制了,这就是经典物理的观点。不过由于h很小,在宏观情况下我们仍然能很精确地测量动量和位置、动能与时间的关系。所以测不准关系反映了从宏观系统到微观系统量变到质变的飞跃。
二.对应原理
量子力学集中说明了在微观物理领域中用经典理论不能解释的一些现象,同时我们也不能忽视这样的事实,即在宏观物理学的领域内,经典物理学还是起作用的,而且起着极其出色的作用。那么在这两者中间就必须解决这样的问题,在微观领域起作用的理论,怎样过渡到宏观的领域?量子力学必须满足这样的条件,要在适当的极限内,得出与经典力学所能得到的相同的结论。从数学上来说,这个极限就是把普朗克常数人看得无限小就行了。这个联系量子力学和经典力学之间的关系就是对应原理。
3.6量子力学的革命意义及其争论
量子力学的建立,是继相对论之后又一重大的革命性变革,对自然科学和哲学的发展都带来了深刻的影响。它为现代物理学提供了崭新的理论基础和思考方法,并大大促进了原子物理学、固体物理学、核物理学等学科的发展,标志着人类在认识自然的过程中由宏观世界向微观世界的飞跃。量子力学从根本上摆脱了传统理论的框架,波粒二象性、互补性、物理量不可对易性、测不准关系等都与经典观念格格不入,这种全新的关于自然界的描述方法和思维方法在科学和哲学领域都引起了巨大的反响。从它诞生之日起,围绕它的争论就一刻也没有停止过,其中最引人注目的是爱因斯坦与以玻尔为首的哥本哈根学派之间的争论。
哥布哈根学派是20世纪20年代初期形成的,为首的是丹麦著名物理学家尼尔斯·玻尔。玻恩、海森堡、泡利以及狄拉克等是这个学派的主要成员。它的发源地是玻尔创立的哥本哈根理论物理研究所。玻尔提出的著名的“互补原理”是哥本哈根学派的重要支柱。哥本哈根学派的解释在定量方面首先表述为海森堡的不确定关系。该学派提出的量子跃迁和不确定性原理(即测不准关系)及其在哲学意义上的扩展(互补原理)在物理学界得到普遍的采用。因此,哥本哈根学派对量子力学的物理解释以及哲学观点,理所当然地成为诸多学派的主体,是正统的、主要的解释。爱因斯坦坚决反对量子力学的概率解释,不赞成抛弃因果性和决定性的概念。他坚信基本理论不应当是统计性的。他说“上帝是不会掷骰子的”。他认为在概率解释的后面应当有更深一层的关。系,把场作为物理学更基本的概念,而把粒子归结为场的奇异点。他还试图把量子理论纳入一个基于因果性原理和连续性原理的统一场论中去,他认为量子力学不能描写单个体系的状态,只能描写许多全同体系的一个系综的行为,因而是不完备的理论。1935年5月,爱因斯坦同波多尔斯基和罗森一起发表了题为《能认为量子力学对物理实在的描述是完备的吗?》一文,提出了著名的以三位作者的姓的首个字母简称的“EPR悖论”,使这场沦战再次出现了,—个高潮。
以爱因斯坦和玻尔为代表的两方的论战是科学史上持续最久、斗争最激烈、最富有哲学意义的论战之一,它一直持续到今天。现在人们还不能作出谁是谁非的结论。因为物理学中不同哲学观点的争论不能单靠争论自身来解决,它最终要靠物理学的理论和实践的进—步发展来裁决。现在只能说,争论的双方都既有正确的一面,也有不足或错误的一面。唯物主义者认为,事物都是运动、变化和发展的,不可能存在什么绝对真理,即便是被称为“正统解释”的哥本哈根解释也有其不完备性,而爱因斯坦、薛定谔、德布罗意等人的观点也有很多正确之处。
1;所有标注为智造资料网zl.fbzzw.cn的内容均为本站所有,版权均属本站所有,若您需要引用、转载,必须注明来源及原文链接即可,如涉及大面积转载,请来信告知,获取《授权协议》。
2;本网站图片,文字之类版权申明,因为网站可以由注册用户自行上传图片或文字,本网站无法鉴别所上传图片或文字的知识版权,如果侵犯,请及时通知我们,本网站将在第一时间及时删除,相关侵权责任均由相应上传用户自行承担。
[complaint:内容投诉]
智造资料网打造智能制造3D图纸下载,在线视频,软件下载,在线问答综合平台 » 科学技术史-4.3量子物理学的建立(图文教程)

