拉深概述
1 拉深变形过程的分析
2 直壁旋转体零件拉深工艺的设计
3 非直壁旋转体零件拉深成形的特点
1.拉深的基本概念
拉深是利用拉深模具将冲裁好的平板毛坯压制成各种开口的空心件,或将已制成的开口空心件加工成其他形状空心件的一种冲压加工方法。(如图4.0.1)
2.典型的拉深件(如图4.0.2)
3.拉深模具的特点
结构相对较简单,与冲裁模比较,工作部分有较大的圆角,表面质量要求高,凸、凹模间隙略大于板料厚度。

4.1 拉深变形过程的分析
4.1.1板料拉深变形过程及其特点 (如图4.1.1)
在毛坯上画作出距离为a的等距离的同心圆与相同弧度b辐射线组成的网格(如图4.1.2) ,然后将带有网格的毛坯进行拉深。
在拉深过程中,毛坯受凸模拉深力的作用,在凸缘毛坯的径向产生拉伸应力 ,切向产生压缩应力 。在它们的共同作用下,凸缘变形区材料发生了塑性变形,并不断被拉入凹模内形成筒形拉深件。

在拉深后我们发现如图4.1.2:工件底部的网格变化很小,而侧壁上的网格变化很大,以前的等距同心圆,变成了与工件底部平行的不等距的水平线,并且愈是靠近工件口部,水平线之间的距离愈大,同时以前夹角相等的半径线在拉深后在侧壁上变成了间距相等的垂线,如图4.1.3所示,以前的扇形毛坯网格变成了拉深后的矩形网格。

4.1.2 拉深过程中变形毛坯各部分的应力与应变状态
拉深过程中某一瞬时毛坯变形和应力情况(如图4.1.5)
1.平面凸缘部分 → 主要变形区
2.凹模圆角区 → 过渡区
3.筒壁部分 → 传力区
4.凸模圆角部分 → 过渡区
5.圆筒底部分 → 小变形区

图 4.1.5 拉深中毛坯的应力应变情况
4.1.3 拉深变形过程的力学分析
1.凸缘变形区的应力分析
(1)拉深中某时刻变形区应力分布
根据微元体的受力平衡可得




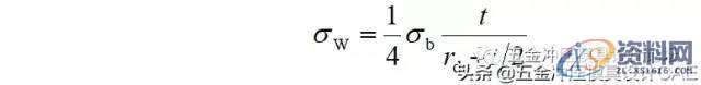
(2)材料流过凹模圆角半径产生弯曲变形的阻力 可根据弯曲时内力和外力所作功相等的条件按下式计算:

(3)材料流过凹模圆角后又被拉直成筒壁的反向弯曲力仍按式上式进行计算:

拉深初期凸模圆角处的弯曲应力也按上式计算,即:

(4)材料流过凹模圆角时的摩擦阻力
通讨凸模圆角处危险断面传递的径向拉应力即为:

由上式把影响拉深力的因素,如拉深变形程度,材料性能,零件尺寸,凸、凹模圆角半径,压边力,润滑条件等都反映了出来,有利于研究改善拉深工艺。

4.1.4 拉深成形的障碍及防止措施
1.起皱(如图4.1.8),影响起皱的因素:
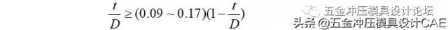
(1)凸缘部分材料的相对厚度
凸缘部分的相对料厚,即为 :


(4)凹模工作部分的几何形状
平端面凹模拉深时,毛坯首次拉深不起皱的条件是 :

用锥形凹模首次拉深时,材料不起皱的条件是:

如果不能满足上述式子的要求,就要起皱。在这种情况下,必须采取措施防止起皱发生。最简单的方法(也是实际生产中最常用的方法)是采用压边圈 。
2.拉裂
拉深后得到工件的厚度沿底部向口部方向是不同的(如图4.1.9)
防止拉裂:
可根据板材的成形性能,采用适当的拉深比和压边力,增加凸模的表面粗糙度,改善凸缘部分变形材料的润滑条件,合理设计模具工作部分的形状,选用拉深性能好的材料。
3.硬化
拉深是一个塑性变形过程,材料变形后必然发生加工硬化,使其硬度和强度增加,塑性下降。
加工硬化的好处是使工件的强度和刚度高于毛坯材料,但塑性降低又使材料进一步拉深时变形困难。

4.2 直壁旋转体零件拉深工艺的设计
4.2.1 拉深毛坯尺寸的确定
拉深毛坯尺寸的确定原则:
体积不变原理(拉深前毛坯表面积等于拉深后零件的表面积 )、相似性原理。
毛坯的计算方法:等重量、等体积、分析图解法、作图法。
(1)确定修边余量
由于材料的各向导性以及拉深时金属流动条件的差异,拉深后工件口部不平,通常拉深后需切边,因此计算毛坯尺寸时应在工件高度方向上(无凸缘件)或凸缘上增加修边余量 。
(2)计算工件表面积
圆筒直壁部分的表面积为 :


4.2.2无凸缘圆筒形件的拉深工艺计算
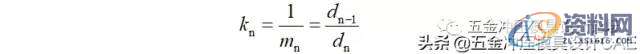
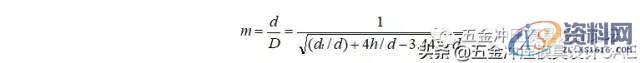
1.拉深系数
拉深系数是表示拉深后圆筒形件的直径与拉深前毛坯(或半成品)的直径之比。(如图4.2.2)

工件的直径与毛坯直径之比称为总拉深系数,即工件所需要的拉深系数


图 4.2.2 拉深工序示意图
拉深系数的倒数称为拉深程度或拉深比,其值为:

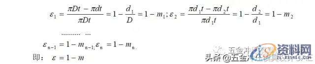
拉深系数表示了拉深前后毛坯直径的变化量,反映了毛坯外边缘在拉深时切向压缩变形的大小,因此可用它作为衡量拉深变形程度的指标。拉深时毛坯外边缘的切向压缩变形量为:

由此可知,拉深系数是一个小于1的数值,其值愈大表示拉深前后毛坯的直径变化愈小,即变形程度小。其值愈小则毛坯的直径变化愈大,即变形程度大。
2.影响拉深系数的因素
拉深材料:机械性能、料厚、表面质量。
拉深模具:间隙、凸模圆角半径、凹模圆角半径、凹模形状(如图4.2.3)凹模表面质量。
拉深条件:压边圈、次数、润滑、工件形状。

图4.2.3 锥形凹模
3.拉深系数的值与拉深次数
查表确定。
4.后续拉深的特点
压力行程曲线(如图4.2.4)。

1-首次拉深;2-二次拉深
图 4.2.4 首次拉深与二次拉深的拉深力
4.2.3无凸缘圆筒形拉深件的拉深次数和工序件尺寸的计算
试确定如下图所示零件(材料08钢,材料厚度 =2mm)的拉
深次数和各拉深工序尺寸。

3.确定拉深次数
⑴ 判断能否一次拉出
对于图示的零件,由毛坯的相对厚度:

(2)计算拉深次数
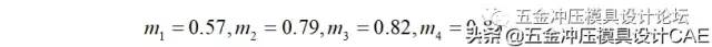
例如:

可知该零件要拉深四次才行 。
半成品尺寸确定
(1)半成品直径
拉深次数确定后,再根据计算直径 应等于 的原则对
各次拉深系数进行调整,使实际采用的拉深系数大于推算拉
深次数时所用的极限拉深系数。
零件实际需拉深系数应调整为:

调整好拉深系数后,重新计算各次拉深的圆筒直径即得
半成品直径。零件的各次半成品尺寸为 :




4.2.4 有凸缘圆筒件拉深方法及工艺计算
有凸缘筒形件的拉深变形原理与一般圆筒形件是相同的,但由于带有凸缘(如图4.2.7),其拉深方法及计算方法与一般圆筒形件有一定的差别。
1.有凸缘筒形件的拉深特点
有凸缘筒形件的拉深系数

该式说明,拉深系数决定三个因素:相对凸缘直径、相对高度、相对转角半径 ,影响程度为递减。


2.宽凸缘圆筒件拉深工艺计算要点
(1)毛坯尺寸计算
毛坯尺寸的计算仍按等面积原理进行,参考无圆凸缘筒形零件毛坯的计算方法计算。
(2)判别能否一次拉成
这只需比较工件实际所需的总拉深系数和 与凸缘件第一次拉深的极限拉深系数和极限拉深相对高度即可
(3)半成品尺寸计算
宽凸缘件的拉深次数仍可用推算法求出。
根据表中的拉深系数值进行计算,即第n次拉深后的直径为:
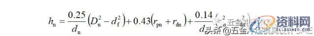
各次拉深后的筒部高度可按下式计算:



4.2.5 阶梯圆筒形件的拉深
1.拉深次数的确定(如图4.2.11)
判断能否一次拉深

2.拉深方法的确定
(1)若任意两个相邻阶梯的直径比都大于或等于相应的圆筒形件的极限拉深系数,则先从大的阶梯拉起 (如图4.2.12a)。
(2)相邻两阶梯直径
之比小于相应的圆筒形件的极限拉深系数,则按带凸缘圆筒形件的拉深进行,即由小阶梯拉深到大阶梯(如图4.2.12b) 。


(3)若最小阶梯直径

过小,即

过小,

又不大时,最小阶梯可用胀形法得到。
(4)若阶梯形件较浅,且每个阶梯的高度又不大,但相邻阶梯直径相差又较大而不能一次拉出时,可先拉成圆形或带有大圆角的筒形,最后通过整形得到所需零件,(如图4.2.13)。

东莞潇洒职业培训学校开设课程有:高升专、专升本学历提升、全日制中职学校学位、积分入户、数控编程培训、塑胶模具设计培训,压铸模具设计培训、冲压模具设计培训,精雕、ZBrush圆雕培训、Solidworks产品设计培训、pro/E产品设计培训、AutoformR7工艺分析培训,非标自动化设计、PLC编程、CNC电脑锣操机、文职培训、电商培训、平面设计等培训、电商培训,潇洒职业培训学校线下、线上等网络学习方式,随到随学,上班学习两不误,欢迎免费试学!
联系电话:13018639933(微信同号)QQ:1939314927
学校官网:www.dgxspx.com 智造人才网:www.58hr.net
学习地址:东莞市横沥镇新城工业区兴业路121号-潇洒职业培训学校
1;所有标注为智造资料网zl.fbzzw.cn的内容均为本站所有,版权均属本站所有,若您需要引用、转载,必须注明来源及原文链接即可,如涉及大面积转载,请来信告知,获取《授权协议》。
2;本网站图片,文字之类版权申明,因为网站可以由注册用户自行上传图片或文字,本网站无法鉴别所上传图片或文字的知识版权,如果侵犯,请及时通知我们,本网站将在第一时间及时删除,相关侵权责任均由相应上传用户自行承担。
[complaint:内容投诉]
智造资料网打造智能制造3D图纸下载,在线视频,软件下载,在线问答综合平台 » 五金模具中的拉伸工艺及拉伸模具设计资料分享,干货满满!!! ...


