连杆类冲压零件在电器行业中作为一种连接件使用相当普遍,且尺寸精度要求较高,它起到力的传递连接力的作用,如果尺寸满足不了产品设计要求,将对产品整个传动机构造成严重影响可能使传动机构不能正常工作。其次本身的形状较为复杂,多种不同性质的冲压为一身,因此形成具有一定难度。
生产此类零件有两种方案:一种是采用常规的工序分散的多付简单模具中实现,另一种是工序集中在一付模具级进模中实现。前者需要的设备、模具和工人的数量多,工人的劳动强度大,且由于是多付模具完成零件的整个生产过程,各种因素将造成加工积累误差,尤其是对一些精度高,产量大的连杆类零件质量和数量都难以在单工序模中得以保证。当制件形状比较复杂,形状较小时,单一工序模具凹凸模的强度将受到约束,还很难处理前后工序的定位,前后形成工序间的干涉等问题。
本文就图1所示零件进行级进模设计,着重阐明连杆类零件级进模中CAD设计的优越性。
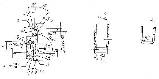
图1
1零件工艺分析
图1所示连杆零件集冲裁、定伸、弯曲局部修光、成形弯曲等不同性质的冲压工序为一体。图示为该零件的排样图。从零件的精度来看,2-Φ3+0.05D有对称度要求IT10级,连杆高度尺寸精度IT11级,成形弯曲开档尺寸精度IT11级,其它尺寸精度均IT16级。属普通冲裁,但成形件的形状比较复杂,成形方向不同。由于零件的产量很大,故考虑采用级进模结构,并从设计角度考虑以后可在高速冲床上进行生产,设计肩格式导板。
该零件的主要成形难点是部分定伸弯曲方向与送样方向有15°夹角,在设计该模具时,考虑到加工困难,上、下同时采用镶拼式结构,所以对模具设计和加工要求就更高。因此,弯曲工序的安排是排样设计的关键所在,也是能否实现级进冲压的关键。根据多工位级进冲压弯曲工序的分解原则,首先利用模具的上、下动作完成切除零件外形多余的废料,在定伸弯曲之前考虑局部修光。在完成上述冲裁弯曲之后,通过顶料装置,将条料顶起,且高出定伸弯高度2mm,以便顺利送料。弯曲方案一但确定,就可以安排其它工序,作出排样图。
1.1常规手工设计
1.1.1各工位及型腔确定
将零件各弯曲通过查表计算进行手工板筋展开,绘制其平面几何图形,根据几何图形在各工位上分解后,确定其相对位置尺寸和各分解图形几何尺寸,这个工作过程的理论计算是一个相当复杂繁锁的,特别是对无规则几何图形就更困难,只要有一个工位的计算出现微小的误差(差错),那么,对整个级进模各工位图形的设计产生较大的影响。
1.1.2压力中心确定
为保证冲模的正确平衡地工作,冲压力中必须通过模柄轴线而和机床滑块的中心重合,这样能提高模具寿命,减少冲模和机床导轨的磨损,避免出现冲压事故。
对于单一对称的图形,压力中心位于其轮廓图形几何中心,复杂开头的图形,可用解析几何法求压力中心。
公式:
对于多个图形,压力中心运用上述公式分别求解后,按多形腔求出压力中心,公式同上。
1.2运用CAD设计(UG软件)
1.2.1将零件建立模形
在modeling中可运用各种模块、曲线Curve建立零件实体模型,并对零件模型进行特征Feature运用和编辑。
1.2.2零件板筋展开
在先定义材料厚度a值确定弯头表达式(expression)bndcl=(b+K*a)rad(c)进入Application进行板筋展开,计算机自动将零件全部展开成平面图形。
1.2.3各工位排列组合
将得到的平面图形按冲压步距尺寸进行多次Copy,并对平面图形修剪得到各工位冲压工艺合理的排样图形。
1.2.4多型腔压力中心确定
选择所有工位封闭,曲线(Curve),运用grip编程软件(YLZX)一次求出所有曲线的压力中心坐标(X、Y)。这给级进模设计提供了良好的理论依据,节省了大量复杂的理论计算。
1.2.5排样图形确立
根据上述设计步骤,模具工程师就可以在此基础上根据自己和工厂的实践经验作出正确判断,修正设计结果。加快设计步伐,从而缩短了模具设计周期,提高了模具设计质量。
根据以上操作综合分析,确定排样图如图2所示,共有8个工位,(1)冲孔、切缺,4个孔为零件孔,其余3孔作为后工序的导正孔;(2)切缺、使零件弯曲部分与条料局部分离,并在该工位设计导正钉,对条料进行导正;(3)切缺,使后工序弯曲部位与条料完全分离,导正钉导正条料;(4)局部修光,修光凸模较小,修光时修光凸模与凹模间隙配合,增加其修光凸模强度;(5)定伸弯曲、将上、下模碰硬(靠脱料板上的限位块限位)此后工位的导正钉装置在定伸弯凸模上,以消除送料过程中造成的定位误差;(6)成形弯曲,在成形弯曲过程中为了防止零件的回弹,保证弯曲件质量,弯曲的同时在弯曲下模拼块上加工出压筋,校正零件回弹;(7)局部切断分离,考虑到具体情况,该零件不能一次分离,分前后两次分离;(8)最后切断分离,此时零件落在凹模型腔内,条料前送,将零件带出凹模型腔,完成全部冲压过程。
排样图如图2所示。
图2
1.2.6模具零件装配
在完成整付模具零件设计后,为验证其结构尺寸的合理性,需将零件进行整体装配(Assemblies),检验各零部件之间装置位置、装配尺寸是否合理,是否有干涉现象,可及时发现并加以修正,避免了在生产制造过程中出现模具加工及设计问题。
1.2.7模具零件制造加工
在UG软件建立的模型上,利用CAD/CAM系统,则是把二维的产品零件图纸转变成工作站上的三维造型。通过三维造型把构成模具的各个零件设计出来,对需要数控加工的零部件进行加工操作,直接编制出数控机床的NC程序,通过机床将零件形状加工成形,最后组装成合格的模具。
2模具结构设计要点的工作过程
连杆类冲压零件级进模结构设计的关键是解决好连杆多角、多方向的弯曲,要达到这一目的,必须安排好各工序的顺序。
2.1浮动托料装置
连杆类零件常有一些凸起凹陷等,在级进模结构的设计中,这些部位若处理不当就有可能给送进过程造成障碍。解决的对策是设计条料提升装置,提升装置常采用浮动顶料钉。当冲压结束后上模随机床滑块上升,安装在下模上的顶料钉在下方弹簧力的作用下弹起,顶到的最高位置则是条料的送料平面,顶起的高度应保证条料在送进过程中不会因有弯曲等形成的凸起而受到阻碍,并在导料板上设置限位台阶,以防止条料有可能跟着凸模上行,造成模具损坏。
2.2结构的设计特点
2.2.1零件设计
该级进模中,下模外形尺寸,如果采用整体结构,在零件大批量生产中,模具如有操作不妥和正常磨损,这将给模具的维修处理带来困难,所以在该模具设计过程中对上下模多处采用镶拼结构,镶拼位置选在定伸弯处,这样有利于型孔的加工和改善型孔的应力分布,提高模具寿命,也利于模具的维修处理。
2.2.2模具结构方面
采用四导柱,使上模与脱料板构成一体,增强脱料板的刚性及导向精度,脱料板上另设置压板,脱料板与压板为分体结构,这样易于钳床装配,压板与凸模配合H7/h6,对小凸模具有更好的导向保护作用。在脱料板与上固定极之间设置限位块,便于校模。该结构已开始在我厂得到越来越多应用。
2.3模具工作过程
当冲床滑块上升时浮动托料机构在下部弹簧的作用下,将条料托起(高出凹模上平面刃口尺寸3mm),冲压时,送料机构将材料送到位后(目前我厂无该设备用人工手送料)当冲床滑块下降时,导正钉自动将材料导正,脱料板压紧条料,上凸模完成各自的工作。所有机构的复位依靠各自的复位弹簧。
图3为该级进模总体结构简图(示附图)

图3
3结束语
对于此类连杆零件及进模的设计,只要抓住了此类零件的成形难点,并将这些部位进行合理的分解,正确选用有利于局部成形的成形机构,就能设计出满足生产要求的合格产品零件,通过厂里实际生产,充分验证了CAD在该连杆级进模结合设计的优越性,对各工序安排的合理性,是一付成功、平稳可靠的级进模。
1;所有标注为智造资料网zl.fbzzw.cn的内容均为本站所有,版权均属本站所有,若您需要引用、转载,必须注明来源及原文链接即可,如涉及大面积转载,请来信告知,获取《授权协议》。
2;本网站图片,文字之类版权申明,因为网站可以由注册用户自行上传图片或文字,本网站无法鉴别所上传图片或文字的知识版权,如果侵犯,请及时通知我们,本网站将在第一时间及时删除,相关侵权责任均由相应上传用户自行承担。
[complaint:内容投诉]
智造资料网打造智能制造3D图纸下载,在线视频,软件下载,在线问答综合平台 » CAD在连杆级进模中的应用(图文教程)

